
Una serpiente yarará apareció en la puerta de una vivienda en Av. Circunvalación
Sociedad
Miguel Calvete tenía funcionarios dentro del organismo que le respondían de manera directa; sus vínculos con la política; las anotaciones en sus cuadernos
Lunes 17 de Noviembre de 2025
18:50 | Lunes 17 de Noviembre de 2025 | La Rioja, Argentina | Fenix Multiplataforma
Diego Spagnuolo y Miguel Angel Calvete se conocieron durante la campaña presidencial de 2023, en un acto en Parque Norte. El abogado cercano al presidente Javier Milei todavía no soñaba con un cargo en el Estado. Mucho menos con dirigir la Agencia Nacional de Discapacidad (Andis). “Miguel Angel está muy conectado”, le decía a sus amigos. Dos años después, Calvete se transformó en un personaje clave en la causa Andis. En sus teléfonos, la Justicia encontró pruebas contundentes. El empresario se había transformado en un lobbista de diferentes laboratorios. Y tenía funcionarios dentro de la Andis que le respondían de manera directa.
Para la Justicia, Calvete se transformó en un “director para-estatal de la Andis”. A través de una red de contactos, dentro y fuera del del organismo, lograba “garantizar un esquema de corrupción” para beneficiar a diferentes laboratorios. Concretamente, era un nexo entre el sector privado y el organismo que conducía Spagnuolo. De esa manera, lograba destrabar pagos millonarios para las droguerías y para otros firmas proveedoras de insumos como Ortopedia Sagués, MED-EL, Ortopedia Alemana, New Farma S.A., entre otras.
Las pruebas contra Calvete aparecieron en sus teléfonos (en total se secuestraron tres aparatos) y en unos cuadernos que guardaba en su casa, en el barrio de San Telmo. Ese domicilio fue allanado recién el 9 de octubre, mucho después del comienzo del escándalo. Poco más tarde fue detenido por otra causa, de hace 10 años, en la que lo condenaron por el delito de explotación económica del ejercicio de la prostitución ajena.
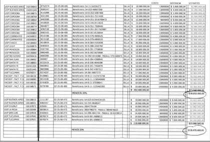
En uno de esos cuadernos, Calvete anotaba con precisión cada una de las contrataciones. Hay planillas con el nombre de las firmas “Expotrauma”, “Artrobone” e “IMNOVA”. El empresario distinguía entre “Costos” (con dos columnas, la primera con una cifra superior a la segunda), “Diferencia” (que es el resultado de la resta entre la primera y la segunda columna de costos), y “2/3 Partes” (con una cifra que representaría los dos tercios de la columna anterior “Diferencia”). “Esto demuestra que Miguel Ángel Calvete, registraba diversos montos vinculados a prestaciones Pacbi , y entre ellos distribuciones de las diferencias entre los costos reales y los costos por lo que efectivamente se vendían”, sostuvo el fiscal Franco Picardi al enumera las pruebas.

En otro de los cuadernos, la Policía encontró un listado de personas que formaban parte de su círculo de contactos. En ese listado aparecen empleados de la agencia de discapacidad, dueños o empleados de droguerías, y algunos allegados que formaban parte del esquema de corrupción.
Los cuadernos de Calvete tiene anotaciones inquietantes para el círculo rojo. En general, el empresario utilizaba iniciales como “ML”, “ML” o “KM” pero cada tanto se dejaba llevar y escribía. “Relacion entre ex marido de Karen (Fred Machado)”, se lee en una de las hojas. ¿Qué tiene que ver el empresario detenido y extraditado a Estados Unidos con las coimas de la Andis?, se preguntan los investigadores.
Para la Justicia, Calvete es titular y tiene fuertes vinculaciones con diversas firmas que comercializan medicamentos e insumos Pacbi con la Andis, principalmente en INDECOMM S.R.L. y Profarma S.A. Pero también hacía gestiones y administraba pagos millonarios para otras empresas.
El empresario fue concejal de Cambiemos (2015–2019) y aportó a diferentes campañas políticas desde el sector privado. Actualmente, según pudo saber LA NACION de fuentes judiciales, está detenido por el delito de explotación económica del ejercicio de la prostitución ajena. La condena fue dictada en 2019 por el Tribunal Oral en lo Criminal 8.
En Andis, Calvete tenía vinculo directo con Daniel Garbellini, el segundo de Spagnuolo. Los chats entre ambos revelaron que el empresario tenía especial interés por algunas firmas. “Fíjate PROFARMA”, le escribió Calvete el 24 de julio de este año. Garbellini respondió: “La semana próxima, ya está programada 1621 M”.
Los mensajes fueron rescatados del teléfono de Garbellini. Calvete, que aparecía agendado como “MAC MIG”, avanzó con sus reclamos: “E Indecomm que estoy al horno”, “sino le digo a…” y le envía un sticker del personaje Voldemort, en una posible alusión a Pablo Atchabahian, otro de los involucrados que podía destrabar los pagos e influenciar en determinadas decisiones del organismo.
En los teléfonos de Calvete -que se abrió un lugar en los medios de comunicación por sus vínculos con los supermercados chinos- también aparecieron decenas de chats con su hija, Ornella Calvete, empleada del Ministerio de Economía desde septiembre de 2024.
El 12 de septiembre pasado, la joven le avisó a su padre que había policías en la puerta de su casa. Era una falsa alarma. Unos minutos después, Calvete le aconseja que se haga “la gila”. Y la joven le pregunta si la firma INDECOMM “tiene cash blanco”. “Por si entran acá y me ven con mosssca” “o digo que me lo prestó alguien, olvidate”, se puede leer en los chats.
La Justicia terminó allanando el domicilio de esa joven el 9 de octubre. En el lugar encontraron US$700.000 dólares.
Dos días antes de esa conversación, el 10 de septiembre, Ornella Calvete habla con su padre de una reunión con un emisario de Ortopedia Alemana. “Dale que te compro algo lindo si sale, algo con una lambo, una granja, lo que quieras”, se entusiasma la joven. Calvete le responde con una ironía: “No hace falta…con el 3% a KM está perfecto”. ¿A quién se refería con KM?
La Justicia también rescató los chats de Calvete con Lorena Di Giorno, una empleada de la Andis que le respondía de manera directa. De hecho, puso a disposición su usuario en el sistema informático de Andis para obtener información privilegiada.
Esa empleada también aportaba información desde el organismo. El 4 de septiembre, Di Giorno le envió a Calvete una copia de un oficio que llevaba la firma del fiscal Sergio Rodríguez, a cargo de la Procuraduría de Investigaciones Administrativas (PIA), quien estaba investigando los contratos de la Andis. “Esto no hace más que confirmar que Lorena Di Giorno comunicaba a Miguel Ángel Calvete todas novedades del organismo de discapacidad, incluidos aspectos vinculados con estas actuaciones", destacó el fiscal Picardi en su dictamen.
Di Giorno, según la investigación, habría cobrado por sus “gestiones”. En los chats encontraron una factura emitida por ella misma a la firma INDECOMM S.R.L. por $5.300.000 en concepto de “honorarios por servicios profesionales realizados”. Es de junio de este año, cuando trabajaba en la Andis.
Cuando estalló el escándalo, y Spagnuolo sale eyectado de su cargo, Calvete desplegó el “operativo limpieza”: los chats revelan las conversaciones con un allegado, Julio Cesar Viera, al quien le pide que bloquee al “Pelado”, en alusión al funcionario, que borre “el historial de llamadas”, y que lo agende con un nombre chino para intentar desviar la atención de los investigadores.
Llamativamente, Spagnuolo tenía agendado a Calvete como “Chuen Li”.




DEJANOS TU COMENTARIO
Las Más Vistas

Una serpiente yarará apareció en la puerta de una vivienda en Av. Circunvalación

Accidente en Ruta 38: un auto chocó contra un vacuno y sólo se registraron daños materiales

Un taxi impactó contra un canasto de residuos y el conductor dio alcoholemia positiva

Un joven ingresó herido al Centro de Salud San Vicente y fue derivado al hospital

La reacción de la China Suárez cuando Moria le preguntó si tuvo relaciones con Icardi tras la cita en París
Top Semanal
TAMBIÉN TE PUEDE INTERESAR
LOCALES
NACIONALES
INTERNACIONES
DEPORTES
SOCIEDAD
FARÁNDULA